Initiation à l'analyse financière

Effet-prix, effet-volume

L'évolution du chiffre d'affaires peut correspondre à une évolution des prix et/ou une évolution des volumes vendus.

Selon l'importance relative de chacun des effets, le diagnostic sur la croissance sera différent.

Pour distinguer les deux effets, il est nécessaire de procéder à une "déflation" de la série des chiffres d'affaires à partir d'un indice de prix représentatif de l'activité de l'entreprise.

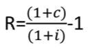
Le calcul de la croissance réelle (en volume) s'effectue à partir de la croissance nominale du chiffre d'affaires et de la croissance de l'indice des prix de référence (i) selon la formule :

PrécédentPrécédentSuivantSuivant
AccueilAccueilImprimerImprimer Université de Lorraine Paternité - Pas d'Utilisation Commerciale - Pas de ModificationRéalisé avec Scenari (nouvelle fenêtre)